
A pair of researchers, hailing respectively from the University of Calgary in Canada and the University of Cambridge in the UK, have found that analyzing rocks from Duluth, Minnesota, may yield understanding about the development of the ancient atmosphere on Mars.
Duluth Rocks versus Mars Rocks
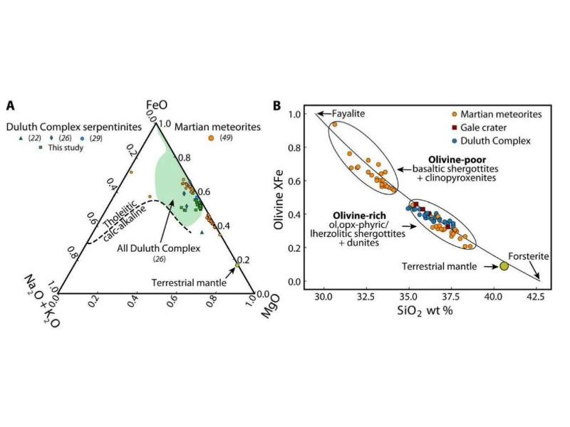
In their publication in the journal Science Advances, Benjamin Tutolo and Nicholas Tosca noted that some iron-rich rocks found in Duluth, Minnesota have a comparable composition to Martian rocks. They suggest that these rocks could be utilized as a substitute for analyzing Mars.
Gathering materials or rocks from Mars is a difficult endeavor for space scientists as it involves a complicated process of launching a spacecraft to the planet, obtaining samples, and bringing them back.
As a result, researchers who are investigating the past of Mars frequently scrutinize the history of Earth or areas on Earth that are similar to Mars.
Serpentinization process
The scientists examined the past of iron-rich rocks found in Minnesota and found out that they had experienced a geological transformation known as serpentinization.
This phenomenon transpires when rocks are pushed upward from the Earth’s mantle and eventually interact with water, leading to the creation of hydrogen.
When these rocks suffer ultimately elevation to the surface, the hydrogen suffers release into the atmosphere. Along with other gases, it generates a greenhouse effect that elevates the temperature of the planet.
Additionally, Tutolo and Tosca underscore that serpentinization has the capability to form minerals and possibly organic compounds that could serve as the basis for life’s building blocks. They suggest that because rocks on Mars have resemblances with those uncovered in Duluth, it’s possible that they have also undergone serpentinization.
This suggests that the rocks on Mars may have played a role in creating an atmosphere that could maintain sufficient warmth to thaw ice into water, which might account for the existence of flowing water on the surface of Mars billions of years ago.
Read the orioriginal article on PHYS.
Read more: Giant Mantle Plume Reveals Mars is More Active Than Previously Thought

GOOD NEWS WITH US